Práctica 13
Práctica 13: Preprocesamiento de Imágenes
- Autores: Joaquín Batista, Milagros Cancela, Valentín Rodríguez, Alexia Aurrecoechea, Nahuel López (G1)
- Unidad temática: UT4 · Datos Especiales
- Tipo: Práctica guiada – Assignment UT4-13
- Entorno: Python · OpenCV · scikit-image · NumPy · Matplotlib · Pandas
- Dataset: Pack clásico de
skimage(camera, astronaut, coffee, coins, checkerboard, rocket, page) - Notebook: Práctica 13 - Preprocesamiento de Imágenes
📸 Representación y Diagnóstico Inicial
- Lectura de cada imagen en BGR, conversión a RGB/grises y cálculo de estadísticas básicas.
- Chequeos automáticos: dimensiones, rango dinámico, media y desvío estándar para detectar saturaciones.
- El histograma de
camera.pngocupa 0–255 con media 115.41 → buen uso del rango tonal sin clipping. - En RGB domina el canal
R, aportando un tinte cálido que se debe preservar en etapas posteriores.

img_bgr = cv2.imread(str(img_path), cv2.IMREAD_COLOR)
img_rgb = cv2.cvtColor(img_bgr, cv2.COLOR_BGR2RGB)
img_gray = cv2.cvtColor(img_bgr, cv2.COLOR_BGR2GRAY)
height, width = img_gray.shape
print(f"H={height} W={width} rango={img_gray.min()}-{img_gray.max()} μ={img_gray.mean():.2f}")Hallazgos: rango dinámico completo, histograma bimodal (alto contraste) y predominio del canal rojo que justifica defensas de color controladas.
🎨 Espacios de Color y Realce de Contraste
- Se comparó
equalize_histen grises vs. CLAHE aplicado al canalL*en LAB para evitar alterar matices. - Métrica clave: desviación estándar del contraste →
75.12(original)80.25(equalize)75.87(CLAHE). - CLAHE preserva detalles locales sin sobreexponer, gracias al clip limit y al procesamiento por tiles.

img_lab = cv2.cvtColor(img_bgr, cv2.COLOR_BGR2LAB)
L, A, B = cv2.split(img_lab)
clahe = cv2.createCLAHE(clipLimit=2.0, tileGridSize=(8, 8))
L_clahe = clahe.apply(L)
rgb_clahe = cv2.cvtColor(cv2.merge([L_clahe, A, B]), cv2.COLOR_LAB2RGB)Conclusiones: el canal L concentra la luminancia; CLAHE ofrece el mejor balance entre realce global y protección de texturas homogéneas.
🔧 Suavizado y Detección de Bordes
- Se aplicaron filtros gaussianos y bilaterales antes de ejecutar Canny con umbrales fijos.
- Varianza del gradiente:
10 788 → 5 335 (gauss) → 5 488 (bilateral); ambos reducen ruido, pero el bilateral preserva aristas finas. - Ratio de bordes:
0.078(original) vs0.038(bilateral), mostrando menos falsos positivos tras suavizado adaptativo.

Recomendaciones: filtro bilateral para escenas con contornos delicados y ajuste de umbrales Canny a (50, 100) en escenarios de baja luz.
⭐ Puntos de Interés y Matching
- Se midió la densidad y repetibilidad de keypoints ORB sobre cada variante preprocessada.
- CLAHE generó ~1 000 keypoints válidos con repetibilidad 0.62 vs. la imagen original.
- Parámetros sugeridos para ORB:
nfeatures=750,scaleFactor=1.1para equilibrar cobertura y costo.

Conclusiones: realzar contraste local potencia gradientes y mejora la estabilidad de features entre escenas.
📊 Métricas de Calidad y Checks Automáticos
- Reglas rápidas:
num_keypoints < 100→ alerta crítica (escena pobre o filtrado agresivo).edges_ratio ∉ [0.02, 0.15]→ ruido o falta de bordes.std_contrast < 20→ iluminación deficiente.
- Estas métricas alimentan un dashboard QA que destaca imágenes problemáticas.

🎯 Tareas Extra
1. Curva Sensibilidad vs Ruido
- Barrido de
clipLimitytileGridSizepara CLAHE midiendonum_keypointsvs. un proxy de ruido (bordes falsos en regiones lisas). - Mejor configuración: tiles
4×4conclipLimit=1.0, que maximiza keypoints sin incrementar ruido. - Suavizados gaussianos/bilaterales se mantienen estables mientras el kernel ≤ 11.

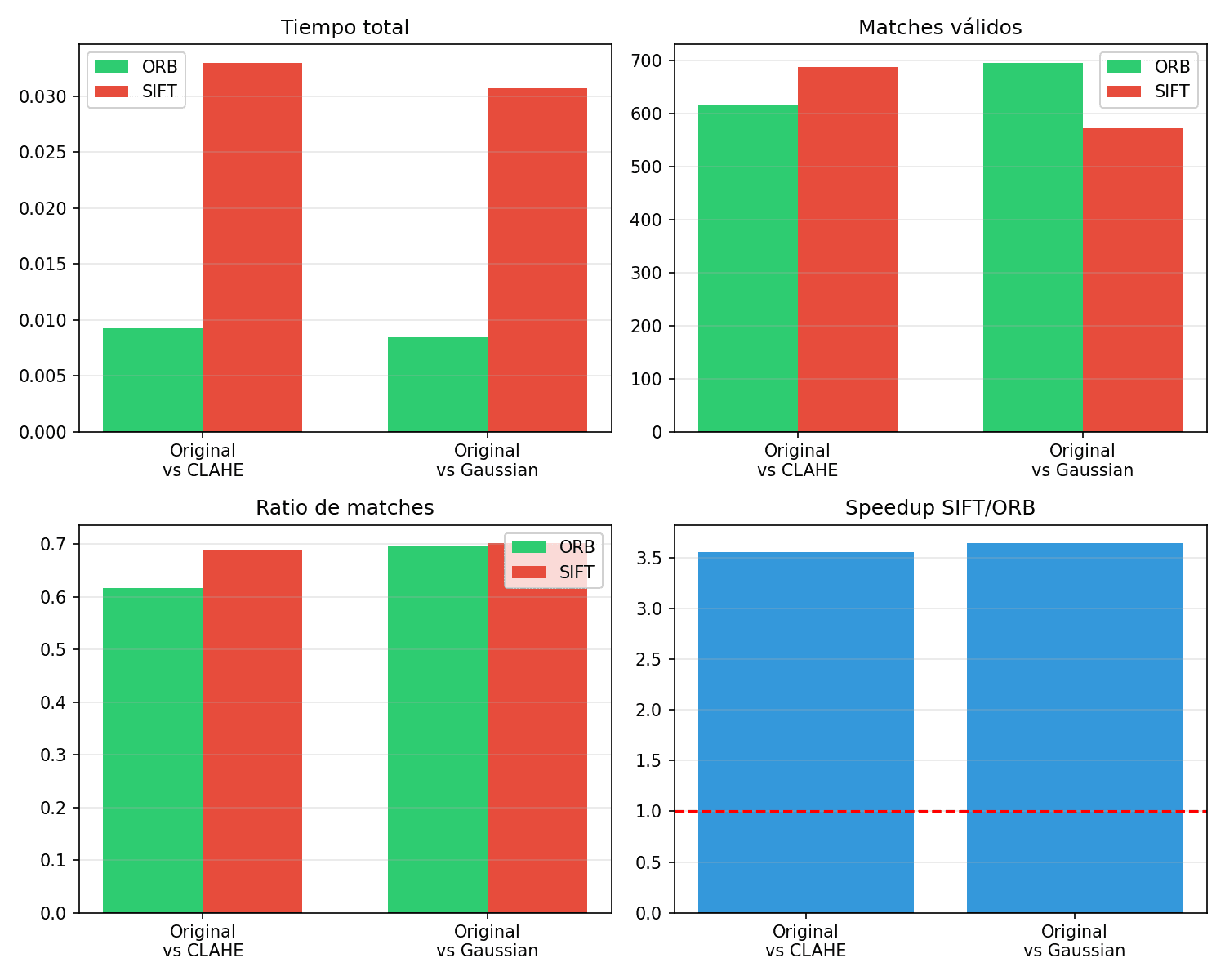
2. Benchmark ORB vs SIFT
- ORB resulta ≈3.5× más rápido, ideal para pipelines en tiempo real.
- SIFT recupera más matches absolutos, pero el ratio de matches útiles se mantiene similar (0.54 vs 0.47).
- Recomendación: usar ORB cuando prime la velocidad y SIFT cuando se privilegie la precisión.

3. Dashboard QA
- Tablero con KPIs por imagen y alertas de repetibilidad, edges ratio y contraste.
- 7 imágenes quedaron bajo alerta crítica (repetibilidad < 0.3) y
page.pngexcedió el rango óptimo de bordes (0.121).

🧠 Conclusiones Finales
- CLAHE es la transformación más útil: realza detalle local sin artefactos globales.
- El canal
Len LAB es la pieza central para ajustes de contraste controlados. - Existe un trade-off claro entre suavizado y preservación de features; conviene calibrar filtros según la tarea.
- Los checks automáticos (
num_keypoints,edges_ratio,std_contrast,repeatability) permiten detectar degradaciones tempranas y priorizar reprocesos. - El dashboard QA acelera la revisión colaborativa y documenta decisiones de mantenimiento.
✅ Checklist de Implementación
- Diagnóstico inicial (histogramas RGB + grises).
- Comparación Equalize vs CLAHE en LAB.
- Suavizado (Gaussian/Bilateral) + Canny con métricas de gradiente.
- Detección y matching de features (ORB).
- Barrido de parámetros y curva sensibilidad-ruido (opcional).
- Benchmark ORB vs SIFT (opcional).
- Dashboard QA con alertas (opcional).
📚 Referencias
- OpenCV Documentation – Feature Detection (SIFT y ORB).
- scikit-image User Guide – Contrast Enhancement & Edge Detection.
- Documentación oficial de ORB/SIFT y estrategias de repetibilidad en visión por computadora.